一文讀懂特種工程塑料PEI
發布時間:2021/7/2 19:21:21 瀏覽:次
PEI相對于其他芳族聚酰亞胺而言,是一種成本較低,產量較大的熱塑性聚酰亞胺,從綜合性能和性能/價格比方面考察,聚醚酰亞胺是芳族聚酰亞胺改性研究中最成功的一類產品。今天我們就從制備方法、發展史、性能特點以及應用來了解一下PEI這款材料。
一、PEI的簡介
聚醚酰亞胺是一種透明琥珀色的無定形熱塑性特種工程塑料,英文名:Polyetherimide,簡稱PEI。其分子結構如下:

圖 PEI分子結構式
1、PEI的制備
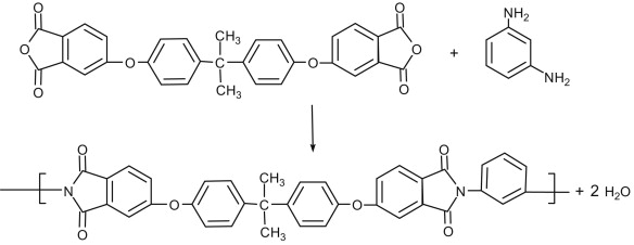
PEI是由4,4’-二氨基二苯醚或間(或對)苯二胺與2,2’-雙[4-(3,4-二羧基苯氧基)苯基]丙烷二酐在二甲基乙酰胺溶劑中經加熱縮聚、成粉、亞胺化而制得,是一種高性能的無定形聚合物。

圖 PEI聚合反應方程式
PEI聚合方法有:溶液聚合法、熔融縮聚法等,其中溶液聚合法為目前工業化生產方法,而擠出機連續擠出聚合方法已由上海市合成樹脂研究所在小型裝置上開發成功,并推向工業生產。

圖 PEI反應擠出工藝流程
2、PEI的發展史
1972年——美國GE公司最早研制成功;
1982年——美國GE公司實現PEI工業化生產,商品名:ULTEM?;
20世紀80年代初——上海市合成樹脂研究所對聚醚酰亞胺研究開發,產品牌號:YS-30;
2007年——SABIC完成對GE塑料部門的收購,生產ULTEM? PEI樹脂;
2018年——SABIC在新加坡新建PEI產品線,產能增加50%;
2021年4月,優巨新材年產2萬噸PEI生產線開工建設,預計2022年8月投產,商品名:PARYLS?PEI。
目前,市面上的PEI樹脂由SABIC生產,具體產能未知,而國產PEI樹脂尚未見銷售。
3、PEI的性能
PEI分子結構既含有芳香胺官能團,又含有醚結構,芳環和酰亞胺環賦予它剛硬的抗蠕變特性和高溫穩定性能,而醚鍵則使其具有熱塑性成型所要求的柔順性能。每種材料都有自己的優點和缺點。
1)PEI的優點:
熱穩定性好,玻璃態轉變溫度為217℃,長期使用溫度可達170℃;
極佳的尺寸穩定性,在很寬的溫度范圍內線性熱膨脹系數低且穩定,因此環境溫度對尺寸影響甚微,在較高溫度和有負荷的情況下使用不變形,蠕變敏感度低;
卓越的機械強度和模量;
突出的電氣性能,在較寬的溫度(-40℃~150℃)和頻率范圍內仍能保持基本恒定,具有穩定的介電常數和介電損耗;
優異的紅外透光性和較高的折射率;
天然阻燃且發煙量很低;
優異的抗輻射性能和耐化學藥品性;
獨特的電鍍能力;
良好的成型加工性能,低熔融粘度和較高的流動性,能以傳統的熱塑性塑料熔融加工工藝和設備成型。
2)PEI的缺點:
含有BPA(雙酚A),限制其在嬰幼兒相關產品的應用;
缺口沖擊敏感;
耐堿的能力一般,尤其是在加熱的條件下。
通過改性,如加入玻璃纖維、碳纖維或其它助劑填料,還可進一步提升PEI的性能。
二、PEI的應用
PEI性能優異,在通信、汽車 、航天航空和醫療等行業中有著廣闊的市場。
1、通信領域
PEI材料用作光通信用光纖連接器,光收發模塊光學組件,射頻連接器絕緣子,基站腔體濾波器塑料腔體、濾波器調諧螺桿,天線內部固定螺絲,環形移相器支架等,此外,發泡PEI材料在毫米波天線罩中也具有優勢。

圖 PEI用于通信,圖源網絡
PEI在5G領域的應用
2、航天航空
PEI可用于航空航天,如空氣閥和燃料閥、食品托盤容器、方向盤、內部覆件和各種結構部件等;PEI單向帶可用座椅框架和行李箱等。
3、汽車
PEI可用于汽車的控制閥、油泵、車燈、激光雷達、擋泥板等部件,PEI薄膜可用作電容器的高溫介質薄膜。

圖 PEI用于汽車部件,圖源網絡
4、醫療領域
PEI可用于醫療設備中。如呼吸機、麻醉機、消毒托盤、手術導板、移液管和實驗室動物籠等。

圖 PEI用于實驗室動物籠,圖源網絡
此外,PEI在家電、微波爐用餐盤、眼鏡框上也有所應用。由此可見,PEI的確是一款功能強大、用途廣泛的材料,而這種尖端材料技術在我國仍有待發展,追趕國際先進水平仍有很長的路要走,讓我們拭目以待。
浩潤機械